Amezinium metilsulfate

Amezinium metilsulfate
Clinical data
AHFS/Drugs.comInternational Drug Names
Routes of
administration
Oral
ATC code
Legal status
Legal status
  • In general: ℞ (Prescription only)
Identifiers
  • 6-Methoxy-1-phenylpyridazin-1-ium-4-amine; methyl sulfate
CAS Number
PubChem CID
ChemSpider
UNII
KEGG
ChEBI
ChEMBL
CompTox Dashboard (EPA)
ECHA InfoCard100.045.665
Chemical and physical data
FormulaC12H15N3O5S
Molar mass313.33 g·mol−1
3D model (JSmol)
  • COC1=[N+](N=CC(=C1)N)C2=CC=CC=C2.COS(=O)(=O)[O-]
  • InChI=1S/C11H11N3O.CH4O4S/c1-15-11-7-9(12)8-13-14(11)10-5-3-2-4-6-10;1-5-6(2,3)4/h2-8,12H,1H3;1H3,(H,2,3,4) checkY
  • Key:ZEASXVYVFFXULL-UHFFFAOYSA-N checkY
 ☒NcheckY (what is this?)  (verify)

Amezinium metilsulfate (INN, trade name Regulton) is a sympathomimetic drug used for the treatment of low blood pressure. It has multiple mechanisms, including stimulation of alpha and beta-1 receptors and inhibition of noradrenaline and tyramine uptake.[1][2]

Synthesis

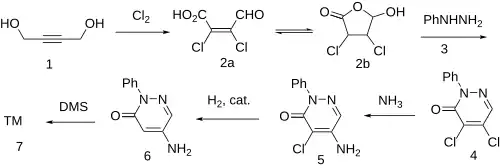
This antidepressant is made from Chloridazon starting material.

Thieme ChemDrug Synthesis:[3][4][5]

The halogenation of 2-Butyne-1,4-diol [110-65-6] (1) with chlorine gives Mucochloric acid [87-56-9] (2). Treatment with Phenylhydrazine [100-63-0] (3) gives 1-Phenyl-4,5-dichloro-6-pyridazone [1698-53-9] (4). Addition of ammonia leads to Chloridazon [1698-60-8] (5). Catalytic hydrogenation yields 5-amino-2-phenylpyridazin-3-one [13589-77-0] (6). Alkylation with dimethyl sulfate completed the synthesis of Amezinium metisulfate (7).

References

  1. ^ Araújo D, Caramona MM, Osswald W (June 1983). "On the mechanism of action of amezinium methylsulphate on the dog saphenous vein". European Journal of Pharmacology. 90 (2–3): 203–14. doi:10.1016/0014-2999(83)90238-8. PMID 6873182.
  2. ^ Lenke D, Gries J, Kretzschmar R (1981). "Pharmacology of amezinium, a novel antihypotensive drug. III. Studies on the mechanism of action". Arzneimittel-Forschung. 31 (9a): 1558–65. PMID 7197970.
  3. ^ Unterhalt B (1981). "Amezinium metilsulfate". Drugs of the Future. 6 (4): 207. doi:10.1358/dof.1981.006.04.199346.
  4. ^ Reicheneder F, Burger TF, König H, Kropp R, Lietz H, Thyes M, Wiersdorff WW (1981). "Amezinium. Synthesis and radioactive labelling". Arzneimittel-Forschung. 31 (9a): 1529–1533. PMID 7197967.
  5. ^ Beljean M, Pays M. "Heterocyclic hydrazines and hydrazones. II. Synthesis of hydrazino derivatives and of hydrazones in the thiazolo[4,5-d]pyridazin-7-ones". Bulletin de la Société Chimique de France. 12 (2): 3324–3330.