Annulation

In organic chemistry, annulation (from Latin anellus 'little ring'; occasionally annelation) is a chemical reaction in which a new ring is constructed on a molecule.[1]

Annulation: A) intramolecular ring closing B) transannulation C) cycloaddition

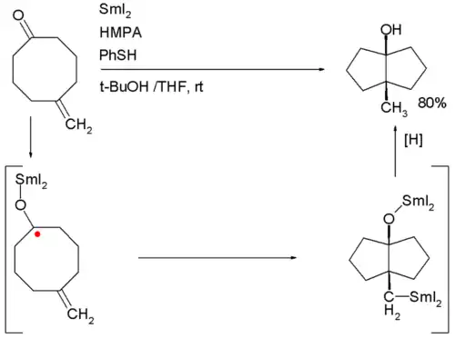
Examples are the Robinson annulation, Danheiser annulation and certain cycloadditions. Annular molecules are constructed from side-on condensed cyclic segments, for example helicenes and acenes. In transannulation a bicyclic molecule is created by intramolecular carbon-carbon bond formation in a large monocyclic ring. An example is the samarium(II) iodide induced ketone - alkene cyclization of 5-methylenecyclooctanone which proceeds through a ketyl intermediate:[2]

Ketone olefin cyclization

Benzannulation

The term benzannulated compounds refers to derivatives of cyclic compounds (usually aromatic) which are fused to a benzene ring. Examples are listed in the table below:

Benzannulated derivative Source of cyclic compound
Benzopyrene Pyrene
Quinoline Pyridine
Isoquinoline
Chromene Pyran
Isochromene
Indole Pyrrole
Isoindole
Benzofuran Furan
Isobenzofuran
Benzimidazole Imidazole

In contemporary chemical literature, the term benzannulation also means "construction of benzene rings from acyclic precursors".[3]

Protonation of Verkade base induces a transannular bonding, giving an atrane.[4]

Transannular interaction

A transannular interaction in chemistry is any chemical interaction (favorable or nonfavorable) between different non-bonding molecular groups in a large ring or macrocycle.[5] See for example atranes.

References

  1. ^ IUPAC, Compendium of Chemical Terminology, 5th ed. (the "Gold Book") (2025). Online version: (2006–) "annulation". doi:10.1351/goldbook.A00367IUPAC, Compendium of Chemical Terminology, 5th ed. (the "Gold Book") (2025). Online version: (2006–) "annelation". doi:10.1351/goldbook.A00365
  2. ^ Construction of Bicyclic Ring Systems via a Transannular SmI2-Mediated Ketone-Olefin Cyclization StrategyGary A. Molander, Barbara Czakó, and Michael Rheam J. Org. Chem.; 2007; 72(5) pp 1755 - 1764; (Article) doi:10.1021/jo062292d
  3. ^ Swami, Bhawna; Yadav, Deepak; Menon, Rajeev S. (January 2022). "Benzannulation Reactions: A Case for Perspective Change From Arene Decoration to Arene Construction". The Chemical Record. 22 (1): e202100249. doi:10.1002/tcr.202100249. ISSN 1527-8999. PMID 34796605. S2CID 244403005.
  4. ^ Verkade, John G.; Urgaonkar, Sameer (2012). "Proazaphosphatrane". Encyclopedia of Reagents for Organic Synthesis. doi:10.1002/047084289X.rn00702.pub2. ISBN 978-0471936237.
  5. ^ Experimental evidence in support of transannular interactions in diketones Kata Mlinaric-Majerski, Marijana Vinkovic, Danko Škare, Alan P. Marchand Arkivoc DS-339E 2002 Online Article Archived 2006-05-04 at the Wayback Machine