Atamestane

Atamestane
Clinical data
Other namesSH-489; Metandroden; 1-Methylandrosta-1,4-diene-3,17-dione
Routes of
administration
By mouth[1]
ATC code
  • None
Legal status
Legal status
Identifiers
  • (8R,9S,10S,13S,14S)-1,10,13-Trimethyl-7,8,9,11,12, 14,15,16-octahydro-6H-cyclopenta[a]phenanthrene-3,17-dione
CAS Number
PubChem CID
ChemSpider
UNII
ChEMBL
CompTox Dashboard (EPA)
Chemical and physical data
FormulaC20H26O2
Molar mass298.426 g·mol−1
3D model (JSmol)
  • O=C\1/C=C(/C)[C@]4(C(=C/1)/CC[C@@H]3[C@@H]4CC[C@@]2(C(=O)CC[C@H]23)C)C
  • InChI=1S/C20H26O2/c1-12-10-14(21)11-13-4-5-15-16-6-7-18(22)19(16,2)9-8-17(15)20(12,13)3/h10-11,15-17H,4-9H2,1-3H3/t15-,16-,17-,19-,20-/m0/s1 checkY
  • Key:PEPMWUSGRKINHX-TXTPUJOMSA-N checkY

Atamestane (developmental code name SH-489), also known as metandroden, as well as 1-methylandrosta-1,4-diene-3,17-dione, is a steroidal aromatase inhibitor that was studied in the treatment of cancer.[2] It blocks the production of estrogen in the body. The drug is selective, competitive, and irreversible in its inhibition of aromatase.[3]

Synthesis

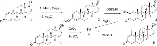
Reaction of the known compound, androstadienedione, (1) with Gilman reagent followed by acetylation with acetic anhydride gives the enol acetate (2). Bromination with 1,3-dibromo-5,5-dimethylhydantoin gives an intermediate (3) which on treatment with magnesium oxide yields atamestane (4).[4] Alternatively the steroid (5) can be oxidized with benzeneselenol, or the natural product, boldenone (6) can be oxidized with a mixture of chromium trioxide and sulfuric acid.[5]

References

  1. ^ el Etreby MF, Nishino Y, Habenicht UF, Henderson D (1991-11-12). "Atamestane, a new aromatase inhibitor for the management of benign prostatic hyperplasia". Journal of Andrology. 12 (6): 403–414. doi:10.1002/j.1939-4640.1991.tb00283.x. PMID 1722797.
  2. ^ Elks J (14 November 2014). The Dictionary of Drugs: Chemical Data: Chemical Data, Structures and Bibliographies. Springer. pp. 794–. ISBN 978-1-4757-2085-3.
  3. ^ el Etreby MF (March 1993). "Atamestane: an aromatase inhibitor for the treatment of benign prostatic hyperplasia. A short review". The Journal of Steroid Biochemistry and Molecular Biology. 44 (4–6): 565–72. doi:10.1016/0960-0760(93)90260-4. PMID 7682838. S2CID 53256276.
  4. ^ US patent 4871482, Klaus N, Hanfried A, "Process for the preparation of 1-methylandrosta-1,4-diene-3,17,dione, and the novel intermediates for this process", issued 1989-10-03, assigned to Schering AG 
  5. ^ Künzer H, Sauer G, Wiechert R (1989). "Regioselective synthesis of ring a polymethylated steroids in the androstane series". Tetrahedron. 45 (20): 6409–6426. doi:10.1016/S0040-4020(01)89518-1.
  • Atamestane entry in the public domain NCI Dictionary of Cancer Terms

Public Domain This article incorporates public domain material from Dictionary of Cancer Terms. U.S. National Cancer Institute.