Grieco elimination

The Grieco elimination
The Grieco elimination

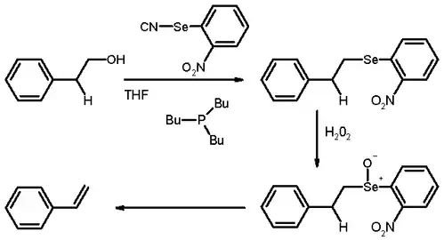
The Grieco elimination is an organic reaction describing the elimination reaction of an aliphatic primary alcohol through a selenide to a terminal alkene.[1][2] It is named for Paul Grieco.

The alcohol first reacts with o-nitrophenylselenocyanate and tributylphosphine to form a selenide via a nucleophilic substitution on the electron-deficient selenium. In the second step, the selenide is oxidized with hydrogen peroxide to give a selenoxide. This structure decomposes to form an alkene by an Ei elimination mechanism with expulsion of a selenol in a fashion similar to that of the Cope elimination. This reaction takes part in the synthesis of ring C of the Danishefsky Taxol synthesis.

The elimination step is common with the Clive-Reich-Sharpless olefination that uses PhSeX as the selenium source.[3]

References

  1. ^ Grieco, Paul A.; Gilman, Sydney; Nishizawa, Mugio (1976). "Organoselenium chemistry. A facile one-step synthesis of alkyl aryl selenides from alcohols". J. Org. Chem. 41 (8): 1485–1486. doi:10.1021/jo00870a052.
  2. ^ Sharpless, K. Barry; Young, Michael W. (1975). "Olefin synthesis. Rate enhancement of the elimination of alkyl aryl selenoxides by electron-withdrawing substituents". J. Org. Chem. 40 (7): 947–949. doi:10.1021/jo00895a030.
  3. ^ Hassner, A.; Namboothiri, I. (2011). Organic Syntheses Based on Name Reactions: A Practical Guide to Over 800 Transformations (3rd ed.). Elsevier. p. 91. ISBN 9780080966311.