Kaniadakis logistic distribution

κ-Logistic distribution
Probability density function
Plot of the κ-Logistic distribution for typical κ-values and . The case corresponds to the ordinary Logistic distribution.
Cumulative distribution function
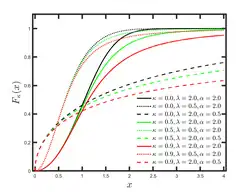
Plots of the cumulative κ-Logistic distribution for typical κ-values and . The case corresponds to the ordinary Logistic case.
Parameters
shape (real)
rate (real)
Support
PDF
CDF

The Kaniadakis Logistic distribution (also known as κ-Logisticdistribution) is a generalized version of the Logistic distribution associated with the Kaniadakis statistics. It is one example of a Kaniadakis distribution. The κ-Logistic probability distribution describes the population kinetics behavior of bosonic () or fermionic () character.[1]

Definitions

Probability density function

The Kaniadakis κ-Logistic distribution is a four-parameter family of continuous statistical distributions, which is part of a class of statistical distributions emerging from the Kaniadakis κ-statistics. This distribution has the following probability density function:[1]

valid for , where is the entropic index associated with the Kaniadakis entropy, is the rate parameter, , and is the shape parameter.

The Logistic distribution is recovered as

Cumulative distribution function

The cumulative distribution function of κ-Logistic is given by

valid for . The cumulative Logistic distribution is recovered in the classical limit .

Survival and hazard functions

The survival distribution function of κ-Logistic distribution is given by

valid for . The survival Logistic distribution is recovered in the classical limit .

The hazard function associated with the κ-Logistic distribution is obtained by the solution of the following evolution equation:

with , where is the hazard function:

The cumulative Kaniadakis κ-Logistic distribution is related to the hazard function by the following expression:

where is the cumulative hazard function. The cumulative hazard function of the Logistic distribution is recovered in the classical limit .

  • The survival function of the κ-Logistic distribution represents the κ-deformation of the Fermi-Dirac function, and becomes a Fermi-Dirac distribution in the classical limit .[1]
  • The κ-Logistic distribution is a generalization of the κ-Weibull distribution when .
  • A κ-Logistic distribution corresponds to a Half-Logistic distribution when , and .
  • The ordinary Logistic distribution is a particular case of a κ-Logistic distribution, when .

Applications

The κ-Logistic distribution has been applied in several areas, such as:

  • In quantum statistics, the survival function of the κ-Logistic distribution represents the most general expression of the Fermi-Dirac function, reducing to the Fermi-Dirac distribution in the limit .[2][3][4]

See also

References

  1. ^ a b c Kaniadakis, G. (2021-01-01). "New power-law tailed distributions emerging in κ-statistics (a)". Europhysics Letters. 133 (1): 10002. arXiv:2203.01743. Bibcode:2021EL....13310002K. doi:10.1209/0295-5075/133/10002. ISSN 0295-5075. S2CID 234144356.
  2. ^ Santos, A.P.; Silva, R.; Alcaniz, J.S.; Anselmo, D.H.A.L. (2011). "Kaniadakis statistics and the quantum H-theorem". Physics Letters A. 375 (3): 352–355. Bibcode:2011PhLA..375..352S. doi:10.1016/j.physleta.2010.11.045.
  3. ^ Kaniadakis, G. (2001). "H-theorem and generalized entropies within the framework of nonlinear kinetics". Physics Letters A. 288 (5–6): 283–291. arXiv:cond-mat/0109192. Bibcode:2001PhLA..288..283K. doi:10.1016/S0375-9601(01)00543-6. S2CID 119445915.
  4. ^ Lourek, Imene; Tribeche, Mouloud (2017). "Thermodynamic properties of the blackbody radiation: A Kaniadakis approach". Physics Letters A. 381 (5): 452–456. Bibcode:2017PhLA..381..452L. doi:10.1016/j.physleta.2016.12.019.