Nielsen–Schreier theorem
In group theory, a branch of mathematics, the Nielsen–Schreier theorem states that every subgroup of a free group is itself free.[1][2][3] It is named after Jakob Nielsen and Otto Schreier.
Statement of the theorem
A free group may be defined from a group presentation consisting of a set of generators with no relations. That is, every element is a product of some sequence of generators and their inverses, but these elements do not obey any equations except those trivially following from gg−1 = 1. The elements of a free group may be described as all possible reduced words, those strings of generators and their inverses in which no generator is adjacent to its own inverse. Two reduced words may be multiplied by concatenating them and then removing any generator-inverse pairs that result from the concatenation.
The Nielsen–Schreier theorem states that if H is a subgroup of a free group G, then H is itself isomorphic to a free group. That is, there exists a set S of elements which generate H, with no nontrivial relations among the elements of S.
The Nielsen–Schreier formula, or Schreier index formula, quantifies the result in the case where the subgroup has finite index: if G is a free group of rank n (free on n generators), and H is a subgroup of finite index [G : H] = e, then H is free of rank .[4]
Example
Let G be the free group with two generators , and let H be the subgroup consisting of all reduced words of even length (products of an even number of letters ). Then H is generated by its six elements A factorization of any reduced word in H into these generators and their inverses may be constructed simply by taking consecutive pairs of letters in the reduced word. However, this is not a free presentation of H because the last three generators can be written in terms of the first three as . Rather, H is generated as a free group by the three elements which have no relations among them; or instead by several other triples of the six generators.[5] Further, G is free on n = 2 generators, H has index e = [G : H] = 2 in G, and H is free on 1 + e(n–1) = 3 generators. The Nielsen–Schreier theorem states that like H, every subgroup of a free group can be generated as a free group, and if the index of H is finite, its rank is given by the index formula.
Proof

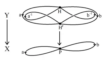
A short proof of the Nielsen–Schreier theorem uses the algebraic topology of fundamental groups and covering spaces.[1] A free group G on a set of generators is the fundamental group of a bouquet of circles, a topological graph X with a single vertex and with a loop-edge for each generator.[6] Any subgroup H of the fundamental group is itself the fundamental group of a connected covering space Y → X. The space Y is a (possibly infinite) topological graph, the Schreier coset graph having one vertex for each coset in G/H.[7] In any connected topological graph, it is possible to shrink the edges of a spanning tree of the graph, producing a bouquet of circles that has the same fundamental group H. Since H is the fundamental group of a bouquet of circles, it is itself free.[6]
The rank of H can be computed using two properties of Euler characteristic that follow immediately from its definition. The first property is that the Euler characteristic of a bouquet of s circles is 1 - s. The second property is multiplicativity in covering spaces: If Y is a degree-d cover of X, then
.
Now suppose H is a subgroup of the free group G, with index [G:H] = e. The previous part of the proof shows that H is a free group; let r denote the rank of H. Applying the two properties of Euler characteristic for the covering graph Y corresponding to H gives the following:
and
Combining these equations, we obtain
This proof appears in May's Concise Course.[8] An equivalent proof using homology and the first Betti number of Y is due to Reinhold Baer and Friedrich Levi (1936). The original proof by Schreier forms the Schreier graph in a different way as a quotient of the Cayley graph of G modulo the action of H.[9]
According to Schreier's subgroup lemma, a set of generators for a free presentation of H may be constructed from cycles in the covering graph formed by concatenating a spanning tree path from a base point (the coset of the identity) to one of the cosets, a single non-tree edge, and an inverse spanning tree path from the other endpoint of the edge back to the base point.[10][9]
Axiomatic foundations
Although several different proofs of the Nielsen–Schreier theorem are known, they all depend on the axiom of choice. In the proof based on fundamental groups of bouquets, for instance, the axiom of choice appears in the guise of the statement that every connected graph has a spanning tree. The use of this axiom is necessary, as there exist models of Zermelo–Fraenkel set theory in which the axiom of choice and the Nielsen–Schreier theorem are both false. The Nielsen–Schreier theorem in turn implies a weaker version of the axiom of choice, for finite sets.[11][12]
History
The Nielsen–Schreier theorem is a non-abelian analogue of an older result of Richard Dedekind, that every subgroup of a free abelian group is free abelian.[3]
Jakob Nielsen (1921) originally proved a restricted form of the theorem, stating that any finitely-generated subgroup of a free group is free. His proof involves performing a sequence of Nielsen transformations on the subgroup's generating set that reduce their length (as reduced words in the free group from which they are drawn).[1][13] Otto Schreier proved the Nielsen–Schreier theorem in its full generality in his 1926 habilitation thesis, Die Untergruppen der freien Gruppe, also published in 1927 in Abh. math. Sem. Hamburg. Univ.[14][15]
The topological proof based on fundamental groups of bouquets of circles is due to Reinhold Baer and Friedrich Levi (1936). Another topological proof, based on the Bass–Serre theory of group actions on trees, was published by Jean-Pierre Serre (1970).[16]
See also
- Fundamental theorem of cyclic groups, a similar result for cyclic groups that in the infinite case may be seen as a special case of the Nielsen–Schreier theorem
- Kurosh subgroup theorem
Notes
- ^ a b c Stillwell (1993), Section 2.2.4, The Nielsen–Schreier Theorem, pp. 103–104.
- ^ Magnus, Karrass & Solitar 1976, Corollary 2.9, p. 95.
- ^ a b Johnson (1980), Section 2, The Nielsen–Schreier Theorem, pp. 9–23.
- ^ Fried & Jarden (2008), p. 355
- ^ Johnson (1997), ex. 15, p. 12.
- ^ a b Stillwell (1993), Section 2.1.8, Freeness of the Generators, p. 97.
- ^ Stillwell (1993), Section 2.2.2, The Subgroup Property, pp. 100–101.
- ^ May, J. Peter (1999). "Section 4.5". A Concise Course in Algebraic Topology (PDF). University of Chicago Press. ISBN 9780226511832.
- ^ a b Bollobas, Bela (1998). "Chapter VIII.1". Modern Graph Theory. Springer Verlag. p. 262. ISBN 978-0-387-98488-9.
- ^ Stillwell (1993), Section 2.2.6, Schreier Transversals, pp. 105–106.
- ^ Läuchli (1962)
- ^ Howard (1985).
- ^ Magnus, Karrass & Solitar 1976, Section 3.2, A Reduction Process, pp. 121–140.
- ^ O'Connor, John J.; Robertson, Edmund F., "Otto Schreier", MacTutor History of Mathematics Archive, University of St Andrews
- ^ Hansen, Vagn Lundsgaard (1986), Jakob Nielsen, Collected Mathematical Papers: 1913-1932, Birkhäuser, p. 117, ISBN 978-0-8176-3140-6.
- ^ Rotman (1995), The Nielsen–Schreier Theorem, pp. 383–387.
References
- Baer, Reinhold; Levi, Friedrich (1936), "Freie Produkte und ihre Untergruppen", Compositio Mathematica, 3: 391–398.
- Fried, Michael D.; Jarden, Moshe (2008), Field arithmetic, Ergebnisse der Mathematik und ihrer Grenzgebiete. 3. Folge, vol. 11 (3rd ed.), Springer-Verlag, p. 70, ISBN 978-3-540-77269-9, Zbl 1145.12001.
- Howard, Paul E. (1985), "Subgroups of a free group and the axiom of choice", The Journal of Symbolic Logic, 50 (2): 458–467, doi:10.2307/2274234, JSTOR 2274234, MR 0793126, S2CID 33535673.
- Johnson, D. L. (1980), Topics in the Theory of Group Presentations, London Mathematical Society lecture note series, vol. 42, Cambridge University Press, ISBN 978-0-521-23108-4.
- Johnson, D. L. (1997), Presentations of Groups, London Mathematical Society student texts, vol. 15 (2nd ed.), Cambridge University Press, ISBN 978-0-521-58542-2.
- Läuchli, Hans (1962), "Auswahlaxiom in der Algebra", Commentarii Mathematici Helvetici, 37: 1–18, doi:10.1007/bf02566957, hdl:20.500.11850/131689, MR 0143705, S2CID 186223589.
- Magnus, Wilhelm; Karrass, Abraham; Solitar, Donald (1976), Combinatorial Group Theory (2nd revised ed.), Dover Publications.
- Nielsen, Jakob (1921), "Om regning med ikke-kommutative faktorer og dens anvendelse i gruppeteorien", Math. Tidsskrift B (in Danish), 1921: 78–94, JFM 48.0123.03.
- Rotman, Joseph J. (1995), An Introduction to the Theory of Groups, Graduate Texts in Mathematics, vol. 148 (4th ed.), Springer-Verlag, ISBN 978-0-387-94285-8.
- Serre, J.-P. (1970), Groupes Discretes, Extrait de I'Annuaire du College de France, Paris
{{citation}}: CS1 maint: location missing publisher (link). - Serre, J.-P. (1980), Trees, Springer-Verlag, ISBN 3-540-10103-9.
- Stillwell, John (1993), Classical Topology and Combinatorial Group Theory, Graduate Texts in Mathematics, vol. 72 (2nd ed.), Springer-Verlag.